原作者:Ansgar Dietrich ,Casparschwa,以太坊基金会
本文来自于Ansgar Dietrichs和Casparschwa在eth research论坛上针对以太坊质押机制与ETH增发模型的讨论。极客Web3对此进行了整理和删改。这些观点在2024年2月提出,部分数据可能存在偏差,但其关于以太坊质押经济模型的分析仍值得参考,且其中部分结论仍未过时。

正文:目前以太坊上质押的ETH已达3000万枚,占总量的1/4(这是今年2月的数据)这个比例相当可观,而且还在上升,没有任何放缓迹象。下图显示了ETH质押量随时间的变化,可以明显看出呈持续增长趋势,而这种趋势会长期持续下去。
未来,ETH的新增质押中将有很大部分受LST(流动性质押代币)影响,如stETH等。这会让LST的使用率和货币属性逐渐增强,但这可能带来负面效应。

首先,LST具备网络效应,规模较大的LST项目会蚕食该赛道中所有的流动性,最终形成赢家通吃,这会加剧LST赛道的竞争格局。此外,如果LST超越ETH,成为以太坊上除Gas Token的主流货币,届时用户将面临LST带来的对手方风险。以太坊上的货币应尽可能免信任,才能真正实现经济上的可扩展性。
(“对手方风险”指对方可能违约/无法履行义务。LST场景中“对手方风险”主要包括用户资产被盗、LST价格滑点、贬值)
目前,ETH质押没有硬性的上限规定,理论上所有ETH都可被质押以获得收益。而LST显著改变了质押的成本结构,几乎所有的ETH都可能被质押。因此我们认为,以太坊的经济模型与质押模式应当包含动态的调节政策,让质押比例在一定范围内调整,这样一来以太坊就能在可控的成本规模下确保安全,避免负外部性的产生。
在本文中,我们针对以太坊的经济模型提出了一些亟需解决的问题。
ETH代币发行策略的现状与未来趋势
在展开讨论前,我们先探讨当前的ETH代币发行政策下,哪些长期的质押模式是可行的。以太坊的安全依赖于一定比例的代币质押,可以概括为POS以太坊本身有“吸引质押的需求”。而对质押的需求在以太坊的货币政策中有明确规定,根据实际的质押权重,协议会相应调整ETH增发量,提高单个节点的质押奖励。
然而,ETH持有者的质押意愿是多样且复杂的,我们只能基于现有信息进行合理推测,粗略估计质押意愿变化对质押者参与情况的长期影响。
ETH质押的供需关系曲线:用增发的ETH换取安全保障
Validator节点质押ETH会让协议获得安全保障,协议再向ETH质押者分发代币奖励,这是一个双赢机制。(限于篇幅,本文对“安全性需要达到什么程度”等具体问题不加讨论,想要了解详情可以参考文章Paths toward single-slot finality)而Validator的收益主要来自两部分:
第一部分:协议根据固定的收益曲线发放的奖励;(就是以太坊每年通过增发ETH,分配给质押参与者的奖励)
第二部分:Validator在出块过程中获得的MEV收益。

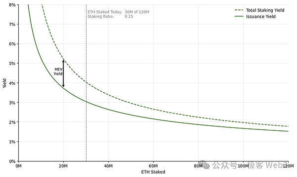
(本图横轴为ETH的质押参与度,纵轴为质押收益率,描述了以太坊协议为满足不同的质押率,所愿意提供的质押收益 我们可以将以太坊协议视为买家 质押者视为卖家)
注:要理解下面的内容,可能需要读者对经济学中的供需关系曲线有简单的认知。
ETH增发收益曲线(绿色实线):从该曲线中可以看出,随着质押者增加,以太坊提供给单个节点的质押奖励将逐步减少。ETH质押参与度较低时,系统需要更多奖励验证者,以鼓励更多人质押ETH;当越来越多人参与质押时,单个验证者对网络安全的边际贡献会降低,对质押奖励的需求也随之减少。
总质押收益曲线(绿色虚线):ETH的固定增发收益加上MEV收益,构成了质押者的总质押收益。这里要注意,MEV收益率的计算方式为:MEV收益总量(去年约为30万个ETH)除以被质押的ETH总量。
由于MEV收益总量基本是固定的,所以随着验证者增多,MEV收益率会快速下降,最终使得质押收益率趋近于单纯的ETH增发率。值得注意的是,以太坊的MEV收益在过去一段时间内相当稳定(参考MEV-Boost Dashboard),虽然这在未来可能变化,但为了简化我们的讨论场景,暂时将其视为固定不变的。
从上述曲线中,我们可以读到两条关键信息:
为了避免质押参与度过低,以太坊在质押参与度较低时设置了高回报来吸引更多质押者。
每个质押者的边际效用递减,即随着质押参与度增加,ETH代币的增发率逐渐减少。
然而,上述质押收益率曲线未能理想的调节质押参与度。首先,该曲线无法有效限制质押比例的阈值,即使所有的ETH都被质押,质押激励仍会保持在约2%左右。换句话说,在激励设计层面,以太坊没有对最终实现的质押比例进行精准控制。总体而言,除了在初始阶段通过高激励来确保系统有最低的安全保障外,协议没有引导质押水平达到某个具体范围。
需要注意,上面提到的只是名义收益,未考虑增发ETH本身带来的稀释效应。随着更多ETH被增发,稀释效应将愈发显著。对此我们暂时忽略稀释效应的影响,放到后文详细讨论。
ETH质押的供给侧分析
上文讨论了质押的需求曲线,也就是以太坊协议为满足不同的质押比例,所愿意提供的质押收益。现在我们将目光转向供给曲线。质押供给曲线展示了ETH持有者在不同收益率下的质押意愿,揭示了不同质押参与度所需的条件。
一般情况下,该曲线会呈右上倾斜,这意味着网络要达到更高的质押参与度,需要更高的激励。然而,由于质押意愿无法被直接观测或准确测量,供给曲线的形状无法具体描绘,我们只能通过定性分析来推测。
此外,供给曲线并非一成不变,我们将探讨质押成本随时间的变化,以及这种变化如何影响ETH持有者的质押决策。换句话说,质押成本的变化将导致供给曲线的位移,使得ETH持有者对质押激励的需求发生变化。
我们只能将历史上可观察到的质押水平拟合成近似的的质押供应曲线,每个特定时间点上需求曲线和供应曲线的交汇点反映了历史上真实达成的质押参与率。

本图横轴仍为ETH质押参与度,纵轴为质押收益率。如图所示,自以太坊信标链启动以来,质押的ETH总量持续增加,质押量的供应曲线是向下移动的。即使在较低的质押收益下,ETH持有者的质押意愿依然会增加。从历史趋势看,短期内供应曲线持续下移属于合理预期。然而值得深入探讨的是长期质押平衡的问题,我们需要仔细分析供给端的构成。
任何ETH持有者在决定是否质押时,通常会考虑两个主要因素:质押收益以及所需成本。总体来看,验证者手中单位资产的质押收益是相同的,但不同类型的质押者却在成本结构上存在显著差异。下文将深入对比独立质押者和质押服务提供商(SSPs)之间的差异。
独立质押者vs质押服务提供商
SSPs接受用户的ETH,并代用户完成质押操作,收取一定的服务费用。通常情况下,他们会为用户提供LST作为质押凭证,用户可以把LST用于二级市场交易(比如stETH)。对于LST持有者而言,这些代币的流动性取决于LST的整体使用率,以及第三方协议对其的支持率。
我们要重点分析的,是Lido这类发行LST的SSPs。至于那些不发行LST的SSPs,可以将其视作LST流动性价值为零的特殊情况,不在本文讨论。
对于大多数人而言,单独质押不需要信任第三方,但参与门槛较高,操作繁琐;相比之下,LST需要一定程度的信任,但却具有显著的简易性和流动性优势。

在比较这两种质押方式后,我们可以得出两个重要结论:
1. 在不同的ETH持有者之间,独立质押的成本结构存在明显差异,技术含量的高低、硬件条件及运维成本的不同,以及对托管安全的信心,都使得独立质押者的供应曲线更为陡峭。这意味着,如果要让独立质押者的数量显著增加,要么大幅增加质押收益,要么改善质押操作的UX。
2. 相比之下,利用SSPs质押的用户成本结构基本相同,主要差异仅体现在对SSP运营风险的评估以及对LST与ETH之间兑换滑点的顾虑。因此,SSP的供应曲线较为平缓。这意味着,要吸引更多的ETH持有者进行LSD流动性质押,所需的收益率增幅相对较小,可以较为平滑地扩大质押参与率。

此外,独立质押的成本不受质押参与度的影响,而持有LST的成本则可能随着时间的推移以及SSPs使用率的提升逐渐降低,原因如下:
1. LST的“货币属性”增强:当某种LST的受欢迎程度提升时,我们可以预期其将得到越来越多项目的支持,超越原生ETH的使用场景,例如更多的DeFi协议集成LST,二层网络默认对桥接的ETH进行流动性质押等。当ETH质押比例足够高时,LST甚至可能在流动性方面超越未质押的ETH,反转二者的流动性差距。
2. 智能合约风险降低:随着时间的推移,LST的智能合约会经过大量的实践检验,并且通过形式化验证等方式进一步降低风险。
3. 治理系统稳健性的提升:随着使用率的增加,LST相关的治理机制也会变得更加成熟和稳健,例如LDO + stETH dual governance提案就反映了LST治理体系的进步。
4. 对大规模风险预期的降低:当某种LST占据整体市场足够大的比例时,它可能会被视为“太大而不能倒”的存在。所以用户相信市场上的各种力量会在SPPs出现问题时及时补救。
5. LSD服务提供商的盈利平衡:当LST的使用率足够高使其流动性足够好,SSPs可以降低单位服务费用来维持盈利,吸引更多用户参与。
整体来看,SSPs和LST的存在使得质押供应曲线被显著拉平,这意味着不需要继续提高质押激励,就可以推动以太坊质押总量的增加。由此可以推测,LSD将继续在推动质押量增长方面发挥重要作用。然而这样一来,长期的时间维度中,质押激励并不是ETH质押增长的桎梏,那么ETH质押究竟能达到多大规模呢?
质押率的长期均衡点
综合考虑需求和供应等因素,我们可以推测出ETH质押能维持的长期均衡状态。前面我们提到,当质押参与率较低时,需求曲线表现出明显的倾向性,但对于长期内可能达到的具体质押比例没有明确结论。
随后我们说明了随着质押成本和风险的降低,供应曲线会随时间逐渐下移,使得越来越多人愿意参与质押,其中起到主要推动作用的正是LST。然而,供应曲线本身的形状无法定量分析,其是否足够陡峭、能对质押参与度形成合理调节,目前并不明确。
因此,总体质押比例的均衡点并不能准确计算出来,存在广泛的可能性,甚至可能接近100%。下图反映了即使长期内的供应曲线差异很小,也可能导致质押比例的均衡点出现位移。

其实最关键的不在于质押参与率会达到多高,而是这种高质押率一旦出现,会带来一系列隐患。本文提出了一些政策上的调整建议,以防止这种情况发生。
质押比例分析:什么情况下质押率少反而更好
质押率可以定义为ETH质押量与ETH总供应量的比值,ETH当前总供应量约为1.2亿枚,其中大约有3000万枚被质押,质押率约为25%。在探讨高质押率可能带来的潜在问题之前,我们要先搞清楚一个标准:
到底质押率达到何种水平,就可以保证以太坊的安全性。根据此前以太坊基金会的一次讨论记录,我们可以知道当前的质押水平足够确保以太坊的经济安全了。
这就引出了一个问题——如果当前的质押率已经能够保障网络安全,是否有必要追求更高的质押率,达到“过度安全”?在我们看来,高质押率虽然能增强网络的安全,但可能带来一些负外部性,影响到ETH持有者、独立质押者,甚至整个以太坊协议的运行。
LST货币属性的网络效应(LST):拒绝承担风险
LSTs在争夺货币属性这个问题上竞争很激烈。由于网络效应的存在,这种竞争往往呈现出“赢家通吃”的局面。随着LST的应用领域不断扩大,实用性随之提高,市占率也会逐步上升,LST的货币属性在多个方面都将得到加强,例如链上和链下的集成度、流动性、抵御治理攻击的能力等。
在高质押率的环境中,如果某单一SSP控制了大部分的质押比例,很可能会被视为“大而不倒”。如果大多数ETH都质押在该SSP处,很难有办法对其进行有效惩罚。如果一个占据主导地位的SSP渗透进以太坊协议治理的核心,但却不必对用户担负相应的责任,这种集中化的治理风险,无疑会对以太坊的去中心化产生深远影响。

如果大部分ETH都参与了流动性质押,实际上在除Gas Token之外的多数场景中,真正作为货币的将会是LST。然而,无论是由ETF、CEX还是链上质押池发行的LSTs,都伴随着不同的信任假设,具有显著风险。最终,用户将不可避免地承受来自运营商、治理、法律以及智能合约等方面的额外风险,这显然不是理想状态。
此外,LST虽然自夸可以还原被质押ETH的流动性,但其在DeFi中作为抵押物的效果肯定不如原生ETH。以太坊网络想要实现真正的经济可扩展性,其货币必须尽可能去信任化,最好是使用ETH本身。
最小可行发行量——服务于用户体验
以太坊的最小可发行量MVI是以太坊网络在维护其安全性和功能性前提下,所需的最低发行量,旨在平衡网络的安全性和ETH通胀率。根据MVI原则,必须确保有足够的质押参与来保障协议的安全性,但质押量不宜过多。
当质押水平达到某个临界点时,协议的安全性已经足够稳固,此时额外质押带来的边际效用会逐渐递减,甚至可能出现负面效应(例如,增加网络负载、稀释ETH持有者的权益等)。此外,质押是一项协议所需的基础服务,协议应为质押支付合理的报酬吸引用户参与,而不是因资产稀释压力使用户被迫参与。
若ETH发行量继续增加,会导致所有ETH持有者和质押者面临更大的稀释风险,然而SSP却不会受到负面影响。因为代质押ETH的所有权并不属于SSP,SSP只是通过收取服务费来获取收入,ETH价值稀释与其无关。不但如此,如果更多人为了对冲通胀而参与LSD质押,SSP收的服务费用能水涨船高。
假设一个情境:以太坊质押参与率为90%,质押年收益率2%,流动性质押占总质押价值的90%,且平均SSP费率为10%,换算下来每年将有相当于以太坊市值0.16%的费用支付给SSP,约为20万ETH,按当前价格计算,约合5.3亿美元。这5.3亿美元,实际上相当于是对所有ETH持有者的一种隐形税收。
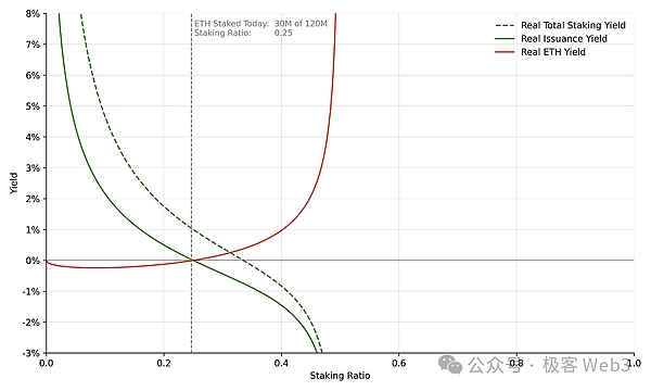
实际收益率:名义收益率 — 稀释效应
类似于金融学中的名义利率与实际利率,实际收益率为剔除ETH名义质押收益中的稀释效应后得来的真实收益率。随着越来越多的人参与质押,以及以太坊的通胀,由ETH质押带来的名义收益将逐渐被稀释,实际收益能更清晰地反映出质押的真实激励,而我们之前讨论的质押收益曲线,均为名义收益曲线。

上图分别反映了稀释效应对质押者和非质押ETH持有者收益的影响。对于不进行质押的ETH持有者(图中红线所示),由于他们的名义余额保持不变,但承受了通胀带来的稀释效应,所以他们的实际收益显然是负的。为了清晰地描述这种影响,我们可以将质押比例“S”分为两种情况进行分析。
当质押比例较低时(曲线左侧部分),实际收益曲线(绿色实线)与名义收益曲线(灰色实线)较为接近,这是因为质押者数量较少,协议通过增发ETH而分配的奖励也少,所以ETH通胀率很低,稀释效应较轻。在这种情况下,质押的主要激励来自于正收益,即图中绿色区域。
当质押比例较高时(曲线右侧部分),实际收益与名义收益曲线之间的差距渐渐增大。随着越来越多的质押者参与,ETH的增发量增加,稀释效应更明显。除了实际收益的减少外,质押者的一部分激励来源于“稀释保护”,即通过质押对冲通胀。极端情况下,当质押比例接近100%时,质押的实际收益将仅由MEV收益构成,此时以太坊的通胀率将非常高,因为要不断的增发代币奖励质押者。
总结下来就是,质押比例高与低的最大区别,是质押收益的构成不同。低质押比例下,用户会获得实际的正向收益,质押比例提高后,由于通胀率较高,用户最后只能获得较少的收益用来抵消稀释效应,即“稀释保护”。以太坊质押比例越高,新发行的ETH就越多,质押用户的名义收益就越高,然而名义收益高并不意味着实际收益高。
需要强调的是,这种收益构成的变化并不会降低质押的激励作用。如果只看结果,稀释保护和真金白银的正收益,对于用户来说同样具有吸引力。然而,两种不同性质的收益对用户的意义截然不同:当质押比例较低时,质押是一项由以太坊协议为之买单的、有利可图的服务;相反,当质押比例升高时,质押变成了一种对冲通胀的无奈之举。
因此,如果质押比例向右移动到最高,我们可能会陷入一种最差的局面:质押提供的实际收益极为有限,还对那些不愿接受LST的人构成资产稀释的威胁。
任何质押者在同一质押政策下,一定会选择对自己来说实际收益更高的策略。但在以太坊的协议设计中,用户根本无法选择,因为协议的发行曲线决定了质押的最终均衡状态(长期质押供给曲线固定的情况下),出于收益考虑,任何用户只能选择参与质押这一种策略。
独立质押的可行性较差
SSP成本固定,质押越多单位成本就越低,天生具备规模经济优势。随着SSPs管理的ETH数量增加,其边际效率也会提升,能压低成本收取更低的服务费用,吸引更多用户,并实现更高的利润。基于这些优势,成功的SSP可能被视为“大而不倒”的存在,这降低了其面临的尾部风险,并进一步强化了规模效应。
(尾部风险:极端事件的发生风险,这些事件概率极低,但一旦发生往往会导致极大损失)
相反,独立质押者需要自行承担所有成本,成本不会因质押量的增加而减少,反而会因网络负载的增加而有所上升,这正是以太坊通过EIP-7514提案的原因之一。
按照前面的分析,随着越来越多的质押收益被用于对冲通胀,而非获取实际收益,质押者的实际收益越来越依赖于MEV,而MEV收益具有高波动性,会让独立质押者的总收益产生波动。相比之下,SSP能够将总的MEV收入按比例分配给其管理的所有Validator验证节点,有效降低了质押收益波动对其整体运营效果的影响。
随着LST的使用率上升及其货币属性的增强,独立质押和LSD质押间的差距将进一步拉开。换句话说,随着质押率上升,独立质押相较于LSD质押的竞争劣势愈加显著。
在许多司法管辖区,政府对质押收入征税时以名义收入为基础,而不是经过稀释效应调整后的实际收入。通过某些结构设计,LST能够为持有人提供一定的保护,避免这种税收影响,而独立质押通常无法做到这一点。随着名义收益与实际收益之间差距越来越大,独立质押者的收益水平也进一步被LSD质押者甩开。

基于此,我们提出以下观点:
1. 持有原生ETH应具备经济可行性,确保良好的用户体验,并避免因安全风险导致的价值稀释问题,从而更好地保护ETH持有者的利益。
2. 为了实现真正的经济可扩展性,以太坊的通用货币应尽可能免信任/无需信任。只有这样,才能确保整个系统的稳健和广泛的适用性。
3. 资产价值的稀释保护成为质押的主要激励构成,对质押者和ETH持有者来说都是不理想的结果。依赖稀释保护作为激励可能会带来不必要的市场波动,削弱了质押机制的初衷。
4. 高质押参与率会进一步加剧独立质押者在市场中的竞争劣势,可能让更多用户倾向于利用SSP进行质押,导致质押的集中化,不利于网络的去中心化和安全。
以太坊未来能达到的质押比例仍不确定,我们需要主动采取措施,确定一个最优的质押比例,防止比例过高产生负面影响。即使高质押比例对某些人来说可能是有利的,这个选择也应当是经过充分考量后做出的,而非受到市场外部因素的随机影响。
质押参与比例的最终目标
我认为,以太坊的质押政策应当以质押比例为基准,而非ETH的质押量。ETH的供应量受到EIP-1559和发行机制的影响而波动,以质押比例为标准能够适应这种供应变化。虽然目前ETH的供应变化非常缓慢,自The Merge以来每年下降约0.3%,但其长期影响不可忽视。设立以质押比例为基准的政策,能够在更长时间范围内保持稳定,无需频繁调整。
如前文所说,当前的发行曲线虽然确保了最低的质押水平,但缺乏限制质押比例上限的机制,这可能会导致质押比例过高。我们认为,一个完善的代币发行政策应当设定质押比例的上下限,来确保网络安全,并维持合理的参与度。具体而言,该政策应努力将质押比例保持在一个“既能确保网络安全,又能避免负面外部效应的最佳范围”内。
为此,以太坊可以对过低的质押比例设置超高奖励,对过高的质押比例设置超低奖励、甚至是负奖励,来调节质押比例。通过这种方式,以太坊可以调控质押参与度。这种政策设计的曲线可以参考Vitalik所提出的示例,该曲线展示了如何在不同质押比例下调节奖励,以引导质押行为。

如图中的发行曲线所示,质押参与度较低时奖励丰厚,与当前的政策一致。随着质押参与度的提高,质押收益逐渐减少,直至转为负值。换句话说,质押的收益最终将减少到不再具有任何吸引力,从而抑制质押行为。然而,这种负收益状态不会长期持续,质押参与度会因为这种机制的调节逐渐降低,并在某个合适的水平达到均衡。因此,呈现出这种收益曲线规律的模型,能够确保质押比例维持在合理范围内。
事实上,要达到合理的质押比例范围,并不需要选择一条收益迅速转为负值的曲线,那些在某个临界点之后仅将质押奖励控制在零或接近零的曲线,可能已经足够达到同样效果,既能抑制过度质押,又能维持系统的稳定性。
确定合理质押比例范围带来的影响
确定合理的质押比例的优势在于,能有效避免高质押率带来的各种负面影响。不过,这种策略并非没有缺点,一个明显的例子是,独立质押者在此情况下面临的奖励具有波动性。与高质押率的环境类似,在确定合理质押比例的策略下,激励来源有很大一部分是MEV收益,这会加强其波动性。
因此,尽管确定质押比例范围的优点很多,但也可能加剧本就存在的收益波动性。MEV风险可以通过引入Execution Tickets或MEV Burn等机制来解决,或设置质押费用的方式来缓解,在一定程度上平衡收益的波动性。也有一些人反对将质押比例确定在某一范围内,其中一个具有代表性的观点是,这样做可能会降低整体的均衡收益,从而加剧独立质押者与SSPs的竞争,以及不同SSPs之间的竞争。
反对者的逻辑是,整体均衡收益降低导致资金供应不充足,一些SPPs采用的质押形式可能对以太坊协议更有益,但由于其项目竞争力不足,难以持续盈利而存活下去,导致以太坊的整体效用更低。要应对这一问题,仍然要分清名义收益和实际收益。
虽然确定质押比例范围的策略可能降低名义收益,但实际收益未必会受到影响,。以下示意图进一步了说明这一点。


上图表示采用确定的质押比例范围时,系统达到长期均衡的情景,下图则大致展示了当前以太坊代币发行曲线下的情景。这两个例子都基于相同的假设:约1亿ETH参与了质押,即长期质押供给保持一致,这样的对比才有意义。
下图中,大部分质押激励用于稀释保护,因此实际收益率仅维持在约0.5%左右。而在左图情境中,系统会达到一个较低的名义收益率均衡点,但由于通胀率较低,实际收益率会提高至约1.4%。
这一例子清楚地说明了,确定质押比例范围会合理地提升实际收益率,可以缓解质押者之间的竞争压力。此外,这也有利于不参与质押的ETH持有者,因为能最大限度地减少稀释风险。
开放性问题
本文提出的策略是确定合理的质押比例。然而,这存在一些亟待解决的问题。
1. 质押比例的理想范围是多少?
对于质押比例,我们已经讨论了不理想的范围,但并未明确提出理想化的质押比例区间。其实这个问题相当复杂,需要在社区内进行深入讨论,并会参考Vitalik和Justin的一些意见。
该问题的核心在于权衡——较低的质押参与度会增加协议受到攻击的风险,而过高的质押参与度则可能带来负外部效应。为了更好地确定质押区间,我们可以对不同质押比例下的效用进行建模。一种可能的效用曲线如下所示:

确定合理的质押比例后,设计者还要选择合适的质押曲线,来实现以太坊质押参与度的均衡。设计者要仔细评估不同曲线的优缺点,挑出最合适的方案。同时,设计者可以继续探索其他机制,例如类似于EIP-1559的反馈控制系统,根据网络状况动态调整质押发行曲线,以确保曲线与网络需求间的匹配度达到最优。
3.如何确保在近零或负发行情况下的激励相容?
激励相容由诺奖得主利Leonid Hurwicz提出,是机制设计的重要原则,具体是说如果某种机制可以将系统内的个人利益与系统整体利益统一起来,该系统就是激励相容的。
以太坊PoS发行的初衷是通过经济激励吸引验证者参与共识,然而在某些质押参与率下,发行收益可能趋近于零,甚至出现负值。尽管在这种情况下,验证者可能为了MEV收益继续质押,但如果缺乏常规的质押奖励,验证节点可能在出块和验证时缺乏足够动力,也就是说当质押发行量过低时,共识机制可能面临失效的风险。
为了解决这一问题,以太坊协议可以对所有验证者收取一定费用,并根据验证者是否称职进行再分配,重新建立激励相容性。然而,这种方案的实施将增加协议的复杂性,因此需要进一步探讨其可行性和有效性。
4.如何以相对(质押比例)而非绝对(固定ETH数量)方式来设定目标范围?
其实也可以将质押发行水平设置为某一绝对的ETH数量,比如3000万枚,或4000万枚ETH,然而为了让发行政策更具前瞻性和适应性,最好直接把质押比例作为考核参数。为了让发行政策以某一特定的质押比例为目标,协议需要掌控ETH质押量和供应量。
5.当质押参与率超出目标区间,如何使其恢复到目标值?
如果当前的质押参与率就在目标区间内,当然是最理想的情况,但如果超出该区间,就必须采取一定措施降低质押参与度,使一部分质押者收益不足进而退出质押。即使我们用最温和的手段降低参与度,这个过程也会对一些质押者产生不利影响。如何尽量降低这种影响仍然是一个需要解决的问题。
结论
我们讨论了当前的以太坊质押激励政策与代币发行方案,详细解释了该发行方案存在的负外部性,探讨了一种可以解决问题的新政策,就是将质押比例设定在一个目标范围内。
然而,鉴于一些尚未解决的问题,尤其是在验证者费用机制和链上MEV捕获机制上的缺失,实现该政策还需要一段时间的过渡。我们提议在这段时间内,对现行的ETH质押与代币发行政策进行革新,作为迈向目标政策的关键一步。
为此,我们在即将到来的Electra升级中,提出了一项关于改革质押发行政策的提案(相关内容可以参考文章Electra:Issuance Curve Adjustment Proposal)。