原文标题:Whale Alerts: Are They Tradable?
原文来源:Presto Research
原文编译:Golem,Odaily 星球日报
· 巨鲸警报之所以受欢迎,因为大型链上交易通常被视为是即将发生的代币抛售的前兆和卖出信号。为了评估这些说法,Presto Research 分析了 BTC、ETH 和 SOL 的大额存款到币安后的价格变化。
· 根据回归分析,大额交易存款与随后的价格变化之间的 R 平方值较低(从 0.0017 到 0.0537 不等)。将数据缩小到来自 VC 和 MM(做市商)的存款后略微提高了 R 平方值,但将它们作为交易信号的实际效用仍然有限。研究结果强烈表明,巨鲸向交易所存款缺乏作为可靠交易信号的预测能力。
· 链上指标在其他方面有效,例如分析区块链基本面、跟踪非法资金流动或解释价格波动。只有当投资者对这些指标的能力和局限性有更为现实的预期时,它们才会更好地为行业服务。

加密资产与其他资产的主要区别之一,是其交易记录的公开可用性,这些记录存储在分布式账本上。这区块链的透明性使得各种利用这一独特特性的工具应运而生,这些工具都被归类为「链上数据」类。其中一种工具是「巨鲸警报」,这是一种自动化通知链上大额加密交易的服务。它们之所以受欢迎,是因为大额交易通常被视为是即将发生的抛售活动的前兆,因此被交易者视为「卖出信号」。
本报告评估了这一普遍认可的假设的有效性。在简要概述了市场上流行的巨鲸警报服务后,我们将分析大额交易存款与 BTC、ETH 和 SOL 价格之间的关系。接着,我们将展示分析结果,并给出主要结论和建议。
Whale Alerts 是指跟踪和报告大额加密交易的服务。这些服务随着加密生态系统的发展而出现,这也反映了市场参与者对区块链透明性特点的高度认可。
随着早期比特币采用者、矿工和投资者(例如中本聪、Winklevoss Twins、F 2 Pool、Mt. Gox)积累了大量比特币,「巨鲸」一词开始流行。最初,区块链爱好者通过区块链浏览器(如 Blockchain.info)监控大额交易,并在 Bitcointalk 或 Reddit 等论坛上分享这些信息。这些数据常常被用来解释比特币价格的重大波动。
2017 年牛市期间,随着巨鲸交易和大额交易数量的增加,市场迫切需要自动化的监控解决方案。2018 年,一个欧洲开发团队推出了一款名为「Whale Alert」的工具,该工具可实时跟踪多个区块链上的大额加密交易,并通过 X、Telegram 和网页端发送警报。该工具迅速获得了市场参与者的青睐,成为寻求可操作交易信号的首选服务。

来源:Whale Alert (@whale_alert)
继 Whale Alert 成功之后,多年来出现了许多提供类似服务的平台,如下图所示。尽管许多新平台增加了更多功能来为警报提供背景信息,但最初的 Whale Alert 仍然专注于简单、实时的通知,并且仍然是最受欢迎的服务,这一点从其在 X 上的大量粉丝也可以看出。所有这些服务的一个共同特点是它们依赖于这样的假设:大额链上交易(尤其是交易所存款)预示着即将发生抛售行为。

主流的巨鲸警报服务,资料来源:Whale Alert、Lookonchain、Glassnode、Santiment、X、Presto Research
Whale Alert 服务的支持者认为,链上资产转账到交易所往往先于清算发生,因此是有效的卖出信号。为了验证这一假设,我们分析了大额存款进入交易所后,数字资产价格的变化,下图是分析的关键参数。假设是如果大额交易存款能作为可靠的交易信号,应该能观察到存款与相应资产价格之间存在明显的关系。

分析的关键参数,来源:Presto Research
我们的分析重点是 2021 年 1 月 1 日至 2024 年 12 月 27 日期间三种主要加密资产——BTC、ETH 和 SOL——及其在币安的 USDT 价格。选择此时间范围是为了与币安当前用于汇总存款的钱包地址的运营持续时间保持一致。
存款阈值设置是因为基于一个交易所数据分析。具体来说,以 Whale Alert 对 BTC、ETH 和 SOL 巨鲸分别设置的 5000 万美元、 5000 万美元和 2000 万美元的限额为基准,我们将存款阈值对应分别下调至 2000 万美元、 2000 万美元、 800 万美元,这与币安是全球现货交易量的 40% 份额相匹配。
我们还特别分析了已知实体的存款,并对较窄的数据样本进行了相同的分析,以检查特定类型实体的存款是否与价格变动表现出更强的关系。这些实体是通过 Arkham Intelligence 识别的,并由我们自己的调查补充,如下图。

具有已知地址的实体,来源:Arkham Intelligence、Presto Research
为了评估巨鲸存款的潜在抛售压力,我们做出了以下假设:
· 在链上确认大于阈值的存款后,抛售压力会在特定时间范围内显现。我们分析了两个时间段:一小时和六小时。
· 指定间隔内的最大回撤 (MDD) 用作衡量存款价格影响(如果有)的指标,从而有效地过滤掉该期间的噪音。
分析结果如下几张图所示
· BTC 巨鲸存款影响(全部):

来源:Binance、Dune Analytics、Presto Research
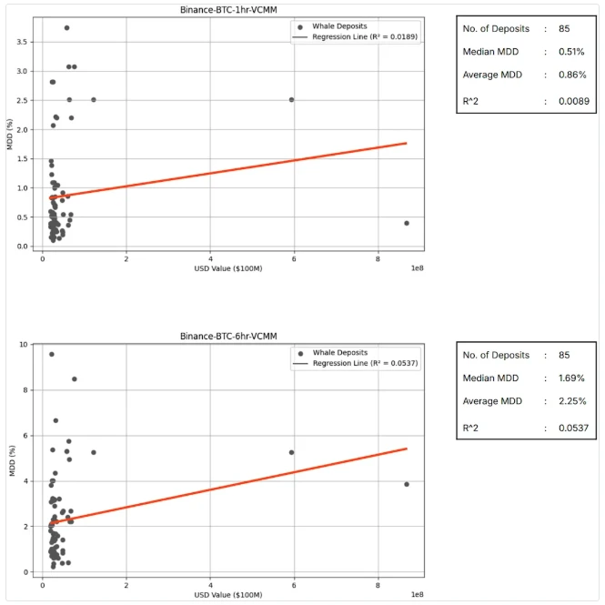
· BTC 巨鲸存款影响(仅限 VC 和 MM):

来源:Binance、Dune Analytics、Presto Research
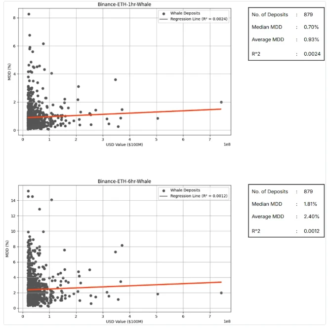
· ETH 巨鲸存款影响(全部):

来源:Binance、Dune Analytics、Presto Research
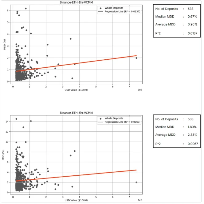
· ETH 巨鲸存款影响(仅限 VC 和 MM):

来源:Binance、Dune Analytics、Presto Research
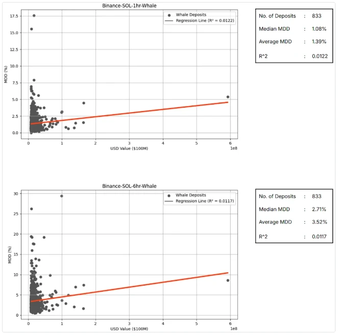
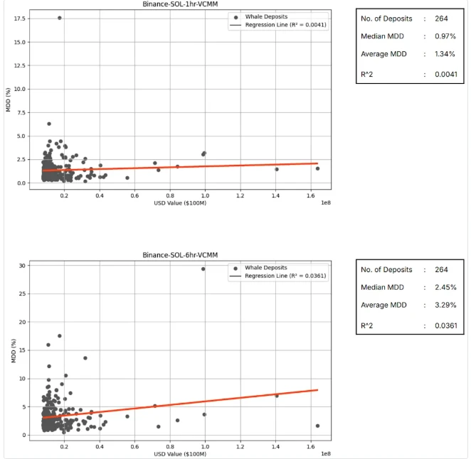
· SOL 巨鲸存款影响(全部):

来源:Binance、Dune Analytics、Presto Research
· SOL 巨鲸存款影响(仅限 VC 和 MM):

来源:Binance、Dune Analytics、Presto Research

资料来源:Binance、Dune Analytics、Presto Research
上图总结了以上统计的结果,得出了以下 3 个结论:
1.大额交易所存款与价格下跌的预测能力较弱:所有 12 种情境的 R 平方值均显示其预测力极弱,且范围从 0.0017 到 0.0537 不等。
2.VC 和 MM 的存款可能是稍微更好的预测信号:在这部分数据中,R 平方值有所改善,但这一改进可能仅仅是样本噪音减少的结果,并非真正的更强相关性。此外,绝对值仍然较低,表明其作为交易信号的实际有效性有限。
3.ETH 的巨鲸存款主要来自 VC 和 MM:它们占 ETH 鲸鱼存款的 61% (即 538 笔中的 879 笔),而 BTC 仅占 13% ,SOL 为 32% 。这反映了不同资产的特性:ETH 因其多样化的 Web3 用途(例如,Gas 费用、质押、DeFi 抵押以及 Swap 媒介),具有较高的周转率,而 BTC 作为价值储存资产,较为稳定。
诚然,我们的分析方法具有一定局限性,并且回归分析有其内在的限制,单纯依赖 R 平方值得出结论有时可能是误导性的。
但话虽如此,该分析结合了背景和个别观察结果,强烈表明巨鲸向交易所存款缺乏足够的预测能力来成为可靠的交易信号。这也为我们提供了对链上指标更广泛使用的深刻见解。
链上指标无疑是有价值的工具,尤其是用于分析区块链基本面或跟踪非法资金流动,它们在事后解释价格变动时也可能有用。然而,用它们来预测短期价格变化则完全是另一回事。价格是供需双方的函数,而交易所存款只是影响供应方的众多因素之一,即使它真的有用。价格发现是一个复杂的过程,也受基本面、市场结构、行为因素(例如情绪、预期)和随机噪声的影响。
在高度波动的加密货币市场中,参与者不断寻求「万无一失」的交易策略,总会有观众被链上指标的「魔力」所吸引。当一些「过于热心」的数据供应商急于夸大其平台的承诺时,投资者只有对这些工具的能力和局限性有现实的预期时,链上指标才能更好地为行业服务。

欢迎加入律动 BlockBeats 官方社群:
Telegram 订阅群:https://t.me/theblockbeats
Telegram 交流群:https://t.me/BlockBeats_App
Twitter 官方账号:https://twitter.com/BlockBeatsAsia